《GB/T 42300-2022 精细化工反应安全风险评估规范》于2022年12月30日起正式实施,作为精细化工反应安全风险评估领域首个正式国家标准,相较于此前的征集意见版在术语和定义、评估对象、测试与评估内容、数据测试和求取方法等重要内容上都有了变化!
“术语和定义”变化
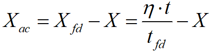
对于常压反应体系,GB/T 42300-2022更多考虑了混合物的情况,MTT相关取值由沸点更改为泡点。
意见稿
旧
3.7 技术最高温度
maximum temperature for technical reason
对于常压体系,技术最高温度为反应体系的沸点;对于密封体系,技术最高温度为反应体系允许的最大压力对应的温度,并结合反应体系各组成部分的设计参数综合考虑;用MTT表示。
新国标
新
3.10 技术最高温度
maximum temperature for technical reason
MTT
反应体系温度允许的最高值。
注:常压反应体系,技术最高温度取设计温度和体系泡点的低值;密闭反应体系,技术最高温度取体系允许最大压力对应的温度和设计温度的低值。
“评估对象”变化
1. 明确反应安全风险评估适用范围包括间歇、半间歇和连续釜式反应。
意见稿
旧
本文件适用于精细化工反应安全风险的评估。
本文件规定了精细化工反应安全风险评估范围、评估内容、参数测试方法、数据求取方法、风险评估标准、评估结果运用、评估报告要求。
新国标
新
本文件规定了精细化工反应安全风险评估要求、评估基础条件、数据测试和求取方法、评估标准和评估报告要求。
本文件适用于精细化工间歇、半间歇和连续釜式反应安全风险评估。
2. GB/T 42300-2022评估范围更广,且对重点监管危险化工工艺要求更为严格,对于新建精细化工企业工艺也提出完成反应安全风险评估明确要求。
意见稿
旧
4.1 重点评估对象
4.1.1 国内首次使用的新工艺、新配方投入工业化生产的以及国外首次引进的新工艺且未进行过反应安全风险评估的。
4.1.2 现有的工艺路线、工艺参数或装置能力发生变更的工艺,且没有反应安全风险评估报告的。
4.1.3 因为反应工艺问题发生过生产安全事故的工艺。
4.1.4 涉及硝化、氯化、氟化、重氮化、过氧化工艺的精细化工生产装置。
4.1.5 除上述情形外,属于精细化工的重点监管危险化工工艺及金属有机物合成反应(包括格氏反应)并且企业未明确掌握其反应安全风险的。
新国标
新
4.1 评估对象
4.1.1 国内首次使用并投入工业化生产的新工艺、新配方,从国外首次引进且未进行过反应安全风险评估的工艺。
4.1.2 现有的工艺路线、工艺参数或装置能力发生变更且未开展反应安全风险评估的工艺。
4.1.3 因为反应工艺问题发生过生产安全事故的工艺。
4.1.4 属于精细化工重点监管危险化工工艺及金属有机物合成反应(包括格氏反应)。
4.1.5 新建精细化工企业应在编制可行性报告或项目建议书前,完成反应安全风险评估。
“测试与评估内容”变化
生产工艺全流程的反应安全风险评估正式列入评估范围;全流程具体内容相较于征求意见稿,未进行明确说明,但应包括且不限于意见稿中提及的蒸馏、分馏、干燥、储存等单元操作的风险评估。
意见稿
旧
4.2 测试与评估内容
4.2.1 反应安全风险评估应包括物料分解热评估、失控反应严重度评估、失控反应可能性评估、失控反应风险可接受程度评估和反应工艺危险度评估。
4.2.2 反应安全风险评估应对原料、中间产品、产品、副产物、废弃物,以及蒸馏、分馏等分离过程涉及的各相关物料进行热稳定测试;对化学反应过程开展热力学和动力学研究测试与分析。
4.2.3 涉及硝化、氯化、氟化、重氮化、过氧化工艺的精细化工生产装置应完成有关产品生产工艺全流程的反应安全风险评估,并对相关原料、中间产品、产品、副产物、废弃物,以及蒸馏、分馏等分离过程涉及的各相关物料进行热稳定性测试和蒸馏、干燥、储存等单元操作的风险评估。
新国标
新
4.2 测试与评估内容
4.2.1 反应安全风险评估应包括物料分解热评估、失控反应严重度评估、失控反应可能性评估、失控反应风险可接受程度评估和反应工艺危险度评估。
4.2.2 反应安全风险评估应对原料、催化剂、中间产品、产品、副产物、废弃物,以及蒸馏、分馏处理过程涉及的各相关物料进行热稳定性测试,对化学反应过程开展热力学和动力学研究测试与分析。
4.2.3 涉及硝化、氯化、氟化、重氮化、过氧化工艺的精细化工生产装置应完成有关产品生产工艺全流程的反应安全风险评估。
“数据测试和求取方法”变化
对于半间歇反应过程,化学计量点之前的热累积度计算公式中,时间比更改为质量比,手动投料需关注标准变化。
意见稿
旧
6.5 热失控时工艺反应能够达到的最高温度,MTSR
6.5.1 对于间歇、半间歇的恒温反应过程,热失控时工艺反应能够达到的最高温度MTSR是单位时间内热累积导致体系的绝热温升与工艺温度之和。恒温反应过程的工艺温度如果存在波动范围,取波动范围的上限值。
间歇反应过程,热失控时工艺反应能够达到的最高温度MTSR通过计算获取,计算公式如下:
半间歇反应过程,热失控时工艺反应能够达到的最高温度MTSR通过计算获取,计算公式如下:
化学计量点之后,
化学计量点之前,
新国标
新
6.4 工艺反应能够达到的最高温度
6.4.1 对于间歇、半间歇的恒温反应过程,工艺反应能够达到的最高温度(MTSR)是冷却失效的情况下,热累积导致体系的绝热温升与工艺温度之和。恒温反应过程的工艺温度如果存在波动范围,取波动范围的上限值。
间歇反应过程,MTSR通过公式(2)计算。
半间歇反应过程,冷却失效时,立即停止加料,MTSR通过公式(3)计算。
注:化学计量点之后,
化学计量点之前,
此标准中有关数据测试和求取方法部分规范了对于物料分解热研究的适用仪器,尤其是克级非均相混合物料的热稳定性测试,使用快速筛选量热仪进行评估;而TMRad等关键基础数据,要求使用绝热加速量热仪、差示扫描量热仪等。
// 精细化工反应安全风险评估解决方案

// 让化工生产和日常生活更安全、更高效
仰仪科技从属于浙仪集团旗下实验室事业群,是专注于化工领域测试需求的国家高新技术企业。我们拥有成熟的精细化工反应安全风险测试仪器与实验室建设方案,是化工领域测试仪器设备、解决方案的专业开发者。

