南京工业大学倪磊教授团队在 Journal of Molecular Liquids 期刊发了表题为 Study on the reaction selectivity and hazard of m-xylene nitration catalyzed by SO3H-functionalized ionic liquids with different anions: Experimental and theoretical approaches论文,该成果由国家自然科学基金委员会(编号21927815、52334006、52274209)和江苏省“333”项目支持。
《Journal of Molecular Liquids》是化学-物理领域的权威学术期刊,专注于原子、分子和化学物理方向的研究。该期刊以其高水平的学术成果、良好的可读性和广泛的国际影响力而著称。

本研究项目深入探讨了五种不同类型的磺酸基咪唑类离子液体(SFILs)在催化间二甲苯硝化反应中的选择性和热危险性。其中,仰仪科技的绝热加速量热仪TAC-500A被用于硝化产物的绝热热失控测试和热动力学分析,为开发高效且安全的硝化工艺提供了关键的数据支撑。
硝化工艺简述
硝化是化学工业中一种极为重要的亲电取代反应,其产物在炸药、染料和医药等领域具有不可替代的作用。然而,近年来,由于操作失误和热累积等问题,硝化事故频发。据中国化学品安全协会的数据显示,硝化工艺在我国危险化工工艺中的事故率和致死人数均位居前列。
(左)江苏响水“3·21”特别重大爆炸事故与
(右)江苏聚鑫生物“12·9”重大爆炸事故
为加强危险化工工艺的风险评估,《GB/T 42300-2022 精细化工反应安全风险评估规范》对反应安全风险评估提出了更为严格的要求,明确规定了包括自动反应量热仪、绝热加速量热仪、差示扫描量热仪和快速筛选量热仪等在内的关键评估仪器。

本研究中TAC-500A的应用:
2. 硝化产物的绝热动力学分析
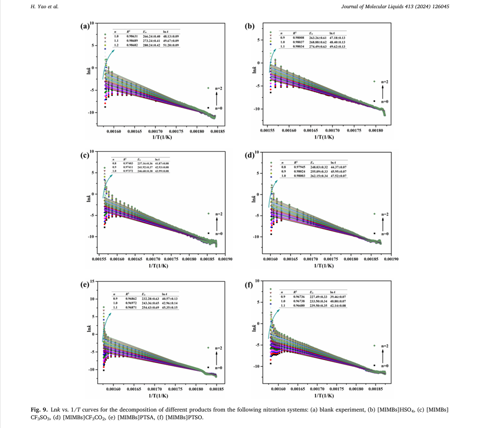
TAC-500A绝热加速量热仪集成了多种反应动力学分析方法。在反应机理模型不明确的情况下,为避免预设模型不匹配带来的误差,可选择等转化率法进行参数拟合;而对于具有明确n级反应动力学方程,则可直接采用速率常数法进行拟合。本研究采用了速率常数法进行计算,结果表明,与单硝基化产物相比,双硝基化产物的分解需要额外的能量来启动。


TAC-500A绝热加速量热仪在测试强放热硝基化合物的热危险参数方面表现出色。它不仅能实时追踪反应温度,还能迅速捕捉绝热温升变化,其检测阈值低于0.01℃/min,在确保实验安全的同时实现了精确量热。此外,其数据分析软件还能计算二次分解反应的热危险参数,并生成风险评估报告。

在化工工艺热风险评估中,绝热条件下最大反应速率到达时间(TMRad)的测定至关重要。本研究利用TAC-500A的测试能力,成功获取了硝基化合物的反应热动力学参数,并基于这些数据计算出了其在绝热条件下的TMRad值。结果表明,硝化产品在贮存和运输过程中的可靠工作温度应低于249.1℃,为全面评估其反应进程和热安全性提供了有力的数据支持。
仰仪科技论文征集活动
我们始终致力于成为一个让用户满意、放心的仪器和解决方案专业提供者,为推动仰仪的仪器产品应用拓展与创新力提升,为您提供更符合需求的仪器和服务,现邀请您参加2024年仰仪科技征文活动。为支持锂电池技术的迅猛发展,本次活动将优先面向锂电池领域进行论文优选及奖金倾斜。
活动对象:所有使用过仰仪科技仪器人员,包括但不限于科研院所研究者、高校师生、企业研究机构等。
论文要求:1. 论文正文部分需提及仰仪科技仪器名称及型号。
2. 论文刊发时间在2023年1月1日~2024年12月31日。
3. 优先选用:论文围绕BAC系列电池绝热量热仪的应用、优化、数据分析或相关技术创新等主题,将获得优先及奖金倾斜。
参与形式:1. 在已刊发文章中使用仰仪科技任何一款或多款产品参与设计或完成实验;
2. 将论文链接与全文发送到活动官方邮箱:marketing@young-instruments.com审核;
3. 在文章真实性验证通过后即可获奖。
截止时间:
活动自即日起开始,截止至2024年12月31日。
奖金设置:
2000元~4000元;最终奖金根据期刊影响力确定。
注意事项:
我们将在您投稿后5个工作日内完成审核,并与您取得联系以发放奖金;未通过的投稿我们将通过官方邮件与您沟通,您也可以拨打0571-56363386与我们联系确认。只要您的论文内容包含仰仪科技品牌或具体仪器名称,通过真实性验证即可领取现金大奖!奖金额度根据文章发表期刊决定,最低2000元,最高4000元!无论您是在校生、上班族还是其他科研工作者,符合条件都可参与。期待您的投稿!
marketing@young-instruments.com为本次活动唯一指定官方邮箱,工作人员不会向您索取任何费用,请注意防骗。
*活动解释权归本司所有

