本期预览
检测150Ah以上的高镍三元电芯的绝热热失控特性是行业内的热点与难点问题,本文利用仰仪科技BAC-420A大型电池绝热量热仪测定了190Ah NCM 811电芯的热失控特征参数,填补了大容量高镍锂电池的检测空白,有助于为电动车等应用场景下的安全防护和热管理设计提供基础数据。
前言
近年来,伴随电动汽车行业的快速发展,国家相关补贴政策也对电动汽车的电池能量密度和续航里程提出了更高的要求[1]。受产业政策要素引导,锂电池单体也不断向大容量和高比能量发展。目前400公里以上的续航里程为行业主流,且市场占有率逐步提升,电池能量密度在160 Wh/kg以上的车型的市场份额也在同步增长[2]。此外,“大电芯”还具有生产及应用综合成本更低、BMS管理更便捷等优势。在此背景下,大容量高镍三元电芯成为动力电池的重要发展方向之一。
电池单体的大型化为单体热失控研究带来了新的挑战。市面上常规的电池绝热量热仪抗爆能力不足,测试大容量高镍电池存在安全风险,导致这类电池的热失控数据不易获取。针对上述问题,开元(中国)一站式服务平台开发的BAC-420A大型电池绝热量热仪采用弹簧锁扣结构优化了量热仪的顶盖和炉体的连接设计,以便于在电池热失控阶段进行快速泄压,从而提高仪器的抗爆性能。
本文利用BAC-420A,在经典HWS(加热-等待-搜寻)模式下测定得到了190Ah NCM 811电芯的绝热热失控数据,并初步辨识了大容量高镍电芯的热失控危险特性。
实验部分
2. 实验条件
实验仪器:开元(中国)一站式服务平台BAC-420A大型电池绝热量热仪、电池充放电设备、TP-700多通道测试仪;
试验环境温度:28℃;
采样频率:1-100Hz;
温度控制模式:HWS-R模式;
自放热检测阈值:0.02℃/min;
热电偶固定位置:大面中心点、电池正极极耳、负极极耳、泄压阀上方30mm。
图1 (a)BAC-420A大型电池绝热量热仪和(b)电池样品安装示意图
实验结果
1. 绝热热失控曲线

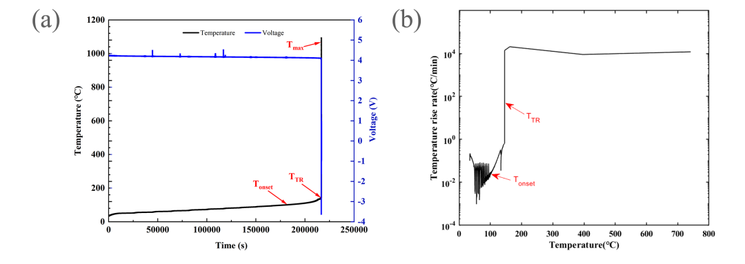
图2 190Ah电池热失控(a)温升/电压-时间曲线和(b)温升速率-温度曲线
大容量高镍电芯达到热失控起始温度后具有极高的能量释放速率。如图2所示,在仪器上盖被顶起泄压的情况下,电池表面热失控最高温度Tmax仍然能够达到约1100℃,最大温升速率超过10000℃/min,明显高于磷酸铁锂和中低镍NCM电池的数据。
图3 190Ah电池热失控过程防爆箱(a)外部和(b)内部视频画面
通过视频监控可以发现,190Ah电芯在热失控阶段发生了猛烈的烟气喷发和火焰喷射现象。此外,据实验现场观察,虽然仪器无损伤,但电芯爆炸引发的气流冲击能够对5米外的物体造成明显的破坏力。因此,进行大容量高镍电芯测试,为确保安全实验室必须具备足够的泄爆面积。
结论
本文利用BAC-420A大型电池绝热量热仪测量了大容量高镍锂电池单体的热失控参数。相关数据可用于此类电池的热失控风险评价以及热管理系统设计,提高电动汽车、储能电站、民用航天等应用场景的安全性。
参考资料:
[1] 2022年新能源汽车推广补贴方案[EB/OL]. www.gov.cn,2021-12-31.
[2]新能源乘用车动力电池续航里程发展趋势分析[DB/OL]. www.autoinfo.org.cn,2021-06-18.

